首页 Linux基本命令 软件 常用网址 Windows命令 期权 CRYPTO 波动率 Ubuntu命令 技术指标 宏观经济 幸福村
买期权
卖期权

Black-Scholes定价模型是一个用于计算欧式期权理论价格的数学模型,由费舍尔·布莱克(Fischer Black)、迈伦·斯科尔斯(Myron Scholes)和罗伯特·默顿(Robert Merton)在1973年提出。该模型假设期权可以在到期日当天行权,并基于一系列假设来估算期权的公允价值。以下是Black-Scholes模型的详细介绍:

主要假设

1.市场假设:

2.资产价格假设:

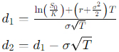
公式

Black-Scholes公式用于计算欧式看涨期权(Call Option)和看跌期权(Put Option)的价格。公式如下:

看涨期权价格公式:
看跌期权价格公式:

其中:

变量定义:

计算步骤

1. 确定参数:确定当前价格 S0、行权价 K、到期时间 T、无风险利率 r 和波动率 σ。
2. 计算 d1 和 d2 :使用上述公式计算 d1 和 d2 。
3. 求解 Φ(d1) 和 Φ(d2):查找或计算标准正态分布的累积分布函数值。
4. 计算期权价格:代入公式计算看涨期权或看跌期权的价格。

实例

假设以下参数:

计算过程:

1. 计算 d1 :

2. 计算 d2 :
   d2 = 0.35 − 0.2 = 0.15

3. 查找 Φ(0.35) 和 Φ(0.15)(使用标准正态分布表):
   Φ(0.35)≈0.6368
   Φ(0.15)≈0.5596

4. 计算看涨期权价格:
   
   C=63.68−95.12⋅0.5596
   C=63.68−53.23≈10.45

因此,看涨期权的价格约为 $10.45。

结论

Black-Scholes模型是一个经典且广泛应用的期权定价模型。尽管它有许多假设,但在许多实际应用中仍然非常有效。如果想要更深入了解,可以查阅以下资源:

标准正态分布表

Wikipedia Stat TrekUniversity of Iowa